Hi-WAX™的主要用途
Application脱模剂(射出成形用金型剥離剤)

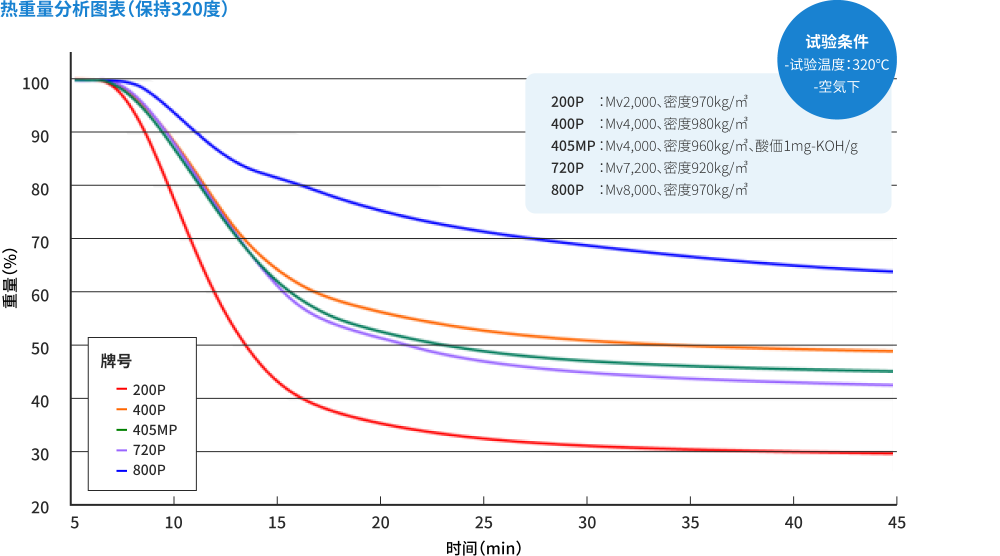
脱模剂用Hi-WAX™
通过在树脂中添加HIWAX™蜡粉,成型品更容易从模具中脱模,有助于提高生产力,这是因为聚乙烯蜡与成型对象的树脂等的相容性小,所以在树脂里添加后反映在表面上,结果,在注塑成型中,蜡在成型品表面和模具之间发挥了其润滑的效果。
- 使用方法
- 在PC,PBT,PA,ABS,PS的颗粒上干混合HIWAX™蜡粉进行注塑成型。
- 效能
- 在注塑成型的时候,由于树脂侵入模具界面形成薄膜,成型品的模具脱模效果好,能够缩短成型周期,另外,可以减少模具的污染,节省了清洁等模具维护的手续,提高了生产性。
- 推荐牌号
- 405MP、720P、800P
200P、400P、220MP








